Störungen im Kabel-Netz
abbrechen
Suchergebnisse werden angezeigt für 
Stattdessen suchen nach 
Meintest du 

Forumbeiträge

Gelöst! Servicevereinbarung und Techniker-Servicepauschale bei Vodafone Kabel Deutschland

Hallo,   nach einem Technikereinsatz kommt manchmal das böse Erwachen: Die Rechnung ist auf einmal um 100€ höher als normal, Grund ist die Technikerpauschale. Daher wollen wir Dir erklären, in welchen Fällen  die Servicepauschale anfallen kann.     ...

Servicepauschale_Techniker.png
Claudia von Moderator:in
  • 76496 Anzeigen
  • 1 Antworten
  • 4 Likes

Kabel - Alles rund um Störungsmeldungen

Dein Kabel-Anschluss funktioniert nicht so wie er soll? Klick einfach Rechts auf den Button "Störung?" und check mit unserer Seite Hilfe bei Störung Deinen Anschluss. Im ersten Schritt prüfen wir, ob Dein Anschluss von einer bereits bekannten Störung...

Stoerungshilfe.jpg
Claudia von Moderator:in
  • 459946 Anzeigen
  • 3 Antworten
  • 5 Likes

Schlechte Download Rate aber gute Upload Rate

Liebes Vodafone-Team, ich habe seit geraumer Zeit Probleme mit meiner Internetverbindung. Ein Speedtest hat ergeben, dass die Upload-Geschwindigkeit gut ist, die Download-Geschwindigkeit aber mangelhaft. Die letzten Speedtests habe ich alle in unmitt...

vodafone.jpg
seosc100 von Daten-Fan
  • 397 Anzeigen
  • 1 Antworten
  • 0 Likes

Neuer Router nur Google möglich

Hallo, habe letzte Woche die neue Vodafone Station bekommen. Seit dem Anschluss habe ich nur Probleme. Vorhandene LAN Verkabelung mittels Switch funktioniert nicht mehr. Verbindung wird zwar erkannt, jedoch ist keine Verbindung zum Internet möglich. ...

Schuhmi2 von Daten-Fan
  • 798 Anzeigen
  • 3 Antworten
  • 0 Likes

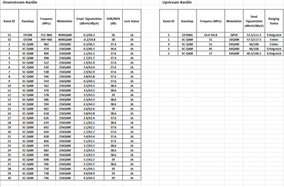
Very High Ping, since the outage.

Hello, Since the starting of February, I am having constant high pings everywhere and a lot of packet loss, I was already assigned a ticket, but there seems to be no progress on it. In welchem Bundesland wohnst Du? Sende bitte auch die PostleitzahlBe...

pingplotter.PNG signal#2.PNG signal#1.PNG
GauthamR von Digitalisierer
  • 1070 Anzeigen
  • 12 Antworten
  • 0 Likes

Kein Internet in 10587

Hallo, das Internet ist seit ca 10 Minuten mal wieder komplett ausgefallen. Das passiert in letzter Zeit öfter. Generell ist die Anbindung desöfteren ziemlich bescheiden (hatte ich schon öfters gemeldet und auch schon einige Gutschriften bekommen).Es...

maniac87 von Netzwerkforscher
  • 1239 Anzeigen
  • 14 Antworten
  • 0 Likes

Rufnummeranzeige unregelmäßig

Hallo, ich habe die gleichen Probleme mit der Rufnummeanzeige, die Tomschke Ihnen am 06.12.21 beschrieben hat. Was kann ich unternehmen?   Info Community Team, Beitrag in passendes Board verschoben

Stoni2 von Daten-Fan
  • 424 Anzeigen
  • 3 Antworten
  • 0 Likes

Hoher Ping in 18225 Kühlungsborn

Seit ca. einem Jahr haben wir einen schwankenden Ping um 70, seit 4 Wochen 50-200 oder sogar schlechter.Router ist gerade gewechselt auf die Vodafone Station. Der alte CBN Router lief besser.Sonstige Fehlerquellen sind auszuschliessen.Interessanterwe...

Ostsee1 von Netzwerkforscher
  • 1527 Anzeigen
  • 16 Antworten
  • 0 Likes

Gelöst! Ping Spitzen in regelmäßigen Abständen, besonders abends

Hallo Vodafone Team, Welchen Vertrag hast Du? Red Internet + Phone 100 CableWelches Modem/ Router nutzt Du? CGA6444VFNutzt Du ein Leih-Gerät von uns oder hast Du ein eigenes Gerät?  Leih-Gerät Welcher Fehler tritt auf? (Geschwindigkeit zu gering; Pac...

schelmi von Smart-Analyzer
  • 2031 Anzeigen
  • 9 Antworten
  • 0 Likes

Gelöst! Übergabepunkt nicht in eigenem Haus

Hallo!Vor ca. 2 Jahren haben wir eine 20 Jahre alte Doppelhaushälfte gekauft. Mit dem Umzugsservice von Vodafone wurde mein Internet und TV-Vertrag von der alten Adresse auf die neue umgestellt. Das hat auch gut funktioniert und bis heute wurden wir ...

AndreasD1 von Smart-Analyzer
  • 1110 Anzeigen
  • 4 Antworten
  • 0 Likes