Archiv_Internet-Geräte
abbrechen
Suchergebnisse werden angezeigt für 
Stattdessen suchen nach 
Meintest du 

Forumbeiträge

Fritzbox 6591 FW. 7.21 Einstellungen IPv6 / IPv4 Konfigurationseinstellungen / Einrichtungshilfe

Hallo liebe Community, ich habe ein Problem mit langsamen Aufbau von Webseiten. Host wird gesucht ....oder es kommt Seite nicht gefunden. Jetzt habe ich hier im Forum ein wenig nach Lösungen geschaut und auch über Google und herausgefunden, dass es i...

umbrella von Daten-Fan
  • 1262 Anzeigen
  • 2 Antworten
  • 0 Likes

Gelöst! Bei Wechsel auf CableMax 1000 kein IPV4 mehr!

Hi, ich habe am 01.03.2020 zu Cable Max 1000 gewechselt. Nun scheine ich aber IPV4 verloren zu haben und kann mich bei diversen Sachen nicht mehr anmelden! Wenn ich über meinen RED Tarif (mobiles Internet) gehe dann geht alles, nur halt nicht über Ca...

FRITZ!Box 6591 Cable - Wann kommt OS Update für DVB-C ?

Hallo,wir haben unsere Fritz!Box 6490 Cable auf die Neue 6591 Cable geupgraded....Doch leider ist jetzt das DVB-C (Fernsehen der Kabelsender übers WLAN) nicht mehr vorhanden.Das wäre für uns ein Grund, die "alte" Box leider dennoch weiter verwenden z...

Nman von Daten-Fan
  • 1705 Anzeigen
  • 1 Antworten
  • 0 Likes

Gelöst! Router zurückschicken

Hallo,mein Vertrag endete heute und ich muss den Router zurückschicken. Finde aber keinen Retourenschein in meinem Vodafone Konto. Muss ich die Rücksendekosten selber tragen? 

Hitron CVE-30360 - Keine Verbindung ins WLan Netzwerk mehr möglich

Hallo, seit über einer Woche kann ich mich mit meinen mobilen Endgeräten nicht mehr mit meinem W-Lan Netzwerk verbinden.Das Netzwerk wird zwar angezeigt, jedoch keine Verbindung möglich.Es wurden keine Veränderungen vorgenommen, seit Jahren lief alle...

AP4 von Smart-Analyzer
  • 549 Anzeigen
  • 1 Antworten
  • 0 Likes

Ständige WLAN Abbrüche

Hallo,   Ich bin seit Dezember 2019 auf Internet 1000 aufgestiegen und habe seitdem immer Probleme mit der WLAN Verbindung. Ich habe ständige kurze Abbrüche, so dass ich kein Videomeeting ohne Unterbrechungen führen kann. Besonders ärgerlich mit Home...

Julien37 von Daten-Fan
  • 534 Anzeigen
  • 1 Antworten
  • 0 Likes

AVM Fritzbox 6490 (Vodafone) - Netbios Filter deaktivieren

Hallo zusammen, ich habe Probleme meine Arbeit vom Homeoffice aus erfüllen zu können, da die Fritzbox ein wichtiges Protokoll filtert.Die IT-Abteilung hat gesagt, dafür muss ich den Netbios Filter in der Fritzbox deaktivieren.Sie haben mir auch eine ...

Daneben80 von Netzwerkforscher
  • 7926 Anzeigen
  • 17 Antworten
  • 0 Likes

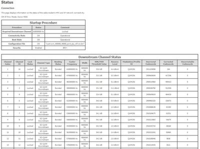
TC4400 momentan 2Play 400 wechsel auf CableMax 1000?

Hi, momentan habe ich noch den 2Play 400/40 hier in BW und spiele mit dem Gedanken auf CableMax 1000 zu wechseln.Als Hardware betreibe ich ein TC4400 mit Software Version SR70.12.33-180327 und dahinter eine Fritzbox 7590.Ich habe mal ein paar Screens...

tc_1.JPG tc_2.JPG tc_3.JPG tc_4.JPG
invade von Daten-Fan
  • 482 Anzeigen
  • 1 Antworten
  • 0 Likes

Hitron CVE 30060, Iphone kommt nicht mehr ins WLAN

Hallo,ich habe seit langem den Router CVE 30060 und hatte bisher keine Probleme mit dem WLAN.Seit einigen Tagen kann sich mein Iphone jetzt nicht mehr ins WLAN einloggen.Netzwerkeinstellungen am Handy zurückgesetzt, Router resettet, bisher hat nicht ...

vERa4 von Smart-Analyzer
  • 1651 Anzeigen
  • 11 Antworten
  • 0 Likes