1

Frage

2

Antwort

3

Lösung

Seit heute immer wieder alle paar Minuten Verbindungsabrüche
Stef_71
Netzwerkforscher
Netzwerkforscher

Hi,

seit heute habe ich immer wieder Abbrüche bei der Internetverbindung. Nutze als Modem ein Technicolor TC4400 und dahinter eine Unifi UDM Pro. Es passiert alle paar Minuten. Habe schon mehrmals alle Geräte Stromlos gemacht, leider ohne Erfolg. Auf dem Technicolor TC 4400 ist die aktuellste Firmware drauf (70.12.44).

 

Hier mal die Werte, vielleicht erkennt jemand was. Wenn ich mit der UDM Pro auch die Internet Leitung messe kommen oft schlechte Werte, vor allem beim Upload und sie meldet mir auch das keine Internetverbindung besteht. Habe eine 1GB Leitung.

 

Modem Werte 03.jpgModem Werte 02.jpgModem Werte 01.jpg

 

Was kann ich noch tun außer das VF Modem dran hängen? Das ist halt wieder eine Prozedur, da ich ja den Bridge Modus aktivieren muss und das wieder ewig dauert.

 

VG

Stefan

15 Antworten 15
Stef_71
Netzwerkforscher
Netzwerkforscher

Hi,

seit heute habe ich immer wieder Abbrüche bei der Internetverbindung. Nutze als Modem ein Technicolor TC4400 und dahinter eine Unifi UDM Pro. Es passiert alle paar Minuten. Habe schon mehrmals alle Geräte Stromlos gemacht, leider ohne Erfolg. Auf dem Technicolor TC 4400 ist die aktuellste Firmware drauf (70.12.44).

 

Hier mal die Werte, vielleicht erkennt jemand was. Wenn ich mit der UDM Pro auch die Internet Leitung messe kommen oft schlechte Werte, vor allem beim Upload und sie meldet mir auch das keine Internetverbindung besteht. Habe eine 1GB Leitung.

 

Modem Werte 03.jpgModem Werte 02.jpgModem Werte 01.jpg

 

UDM Pro Meldung.jpg

 

Was kann ich noch tun außer das VF Modem dran hängen? Das ist halt wieder eine Prozedur, da ich ja den Bridge Modus aktivieren muss und das wieder ewig dauert.

 

VG

Stefan

RobertP
Giga-Genie
Giga-Genie

bestelle dir erstmal einen neuen Aktivierungscode, der alte wird wahrscheinlich nicht mehr funktionieren

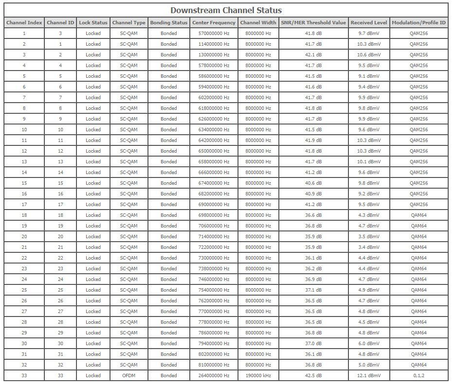
ansonsten sehe ich nur ein Problem beim OFDMA

deine Signalpegel sind grundsätzlich top

Stef_71
Netzwerkforscher
Netzwerkforscher

Hallo Robert,

welchen Aktivierungscode meinst du? An welchem Wert siehst du dass das der OFDMA nicht in Ordnung ist und könnte das verantwortlich dafür sein?

Ich hoffe das nichts an meinen Unifi Geräten ist, Router, Switch usw.

 

VG

Stefan


@Stef_71  schrieb:

welchen Aktivierungscode meinst du?


sobald du den Standardrouter anschließt, fliegt dein TC4400 aus dem System und muss zur Wiederinbetriebnahme neu aktiviert werden und dazu benötigst du einen aktuellen Code

 


@Stef_71  schrieb:

An welchem Wert siehst du dass das der OFDMA nicht in Ordnung ist und könnte das verantwortlich dafür sein?


RobertP_0-1706518907542.png

da sollte ebenfalls Bonded stehen

schon möglich, dass die Abbrüche dadurch ausgelöst werden

Stef_71
Netzwerkforscher
Netzwerkforscher

Ich habe auch jetzt mal nachgesehen in der UDM Pro. Da hat die hohe Latenz angefangen gestern gegen 13.00 Uhr und die Nacht um 2.30 war das letzte mal. Muss es mal im Auge behalten. Vor einiger Zeit hatte ich schon mal das VF Modem dran da hatte ich keinen Code gebraucht bzw. war der in meinem Account hinterlegt. So genau weiß ich das aber nicht mehr.

 

Die Werte sind auch jetzt wieder im grünen Bereich.

 

UDM Pro Meldung 1.jpgUDM Pro Speed Test.jpg

 

In den Werten vom Technicolor steht auch jetzt Bonded:

 

Modem Werte 04.jpg

 

Danke dir für deine Hilfe.

Hallo Stefan,

 

den Aktivierungscode für deinen Vertrag benötigst du, wen du das TC4400 wieder über das Vodafone Aktivierungsportal freischalten möchtest, nachdem du das Providerleihgerät angeschlossen hast. Mit Inbetriebnahme des Providerleihgerätes wird dein eigenes Gerät automatisch aus dem Vodafone System gelöscht. Diesen kannst du hier anfordern: https://www.vodafone.de/meinvodafone/account/aktivierungscode/

 


@Stef_71  schrieb:

An welchem Wert siehst du dass das der OFDMA nicht in Ordnung ist und könnte das verantwortlich dafür sein?


Daran:

TC4400_OFDMA.png

Dieser sollte wie die anderen Kanäle auf "Bonded" stehen.

Ich befürchte aber, dass du trotzdem das Vodafone Leihgerät anschließen musst, um eine Störungsmeldung bei Vodafone eröffnen zu können. Vodafone bearbeitet diese mit einem eigenen Kundengerät leider nicht, wen noch ein Leihgerät im Vertrag enthalten/vorhanden ist 😕

 

Grüße

GigaZuhause 250 Kabel mit Technicolor TC4400-EU/Arris TM3402B

@peter12_  schrieb:

Vodafone bearbeitet diese mit einem eigenen Kundengerät leider nicht, wen noch ein Leihgerät im Vertrag enthalten/vorhanden ist.


@peter12_  weisst du eigentlich ob es mittlerweile möglich ist einen Altvertrag mit Leihgerät auf  "access only" (ohne Leihgerät) umzustellen?

Hi Robert,

 

soll möglich sein, sich die Option über den Vertragssupport buchen zu lassen, wen man hartnäckig bleibt: https://www.vodafonekabelforum.de/viewtopic.php?p=745343&hilit=Access+Only#p745343

 

"Nachteil" ist, dass dann das Vodafone Leihgerät zurück zum Provider muss. Dafür wird aber im Gegenzug dann mit deinem eigenen Gerät entstört wird. Ich selbst bin den Schritt noch nicht gegangen, da bei mir das Leihgerät (Vodafone Station CGA4233DE, zum Glück noch die "bessere" Variante der VF Station mit dem selben Chipsatz, wie mein TC4400 ) noch kostenfrei im Vertrag enthalten ist und ich somit auf ein weiteres Kabelmodem im Zweifelsfrei zurückgreifen kann, im Falle einer Störung.

 

Bis jetzt musste ich aber noch nicht von meinem TC4400 auf das Providerleihgerät im Rahmen einer Störung wechseln 🤞. Waren bei mir bisher immer allgemeine Störungen (Glasfaserkabel zum Backbone an der CMTS durchtrennt, Stromausfall an der CMTS), welche ich auch mit dem Providerleihgerät gehabt hätte. Abwarten hat das Problem dann gelöst 🙂

 

Grüße

GigaZuhause 250 Kabel mit Technicolor TC4400-EU/Arris TM3402B

Ich denke mal das es behoben ist. Bis jetzt läuft alles wieder. Weißt du wie lange der Aktivierungscode gültig ist?

 

Das mit dem Leihgerät wie Robert schreibt wusste ich auch noch nicht, das man das so machen kann. Hätte hier noch für den Fall der Fälle ein zweites neues Technicolor TC4400 liegen. Das habe ich als Ersatz. Gibt es da noch Vorteile wenn man das bei VF durchbringen würde mit dem eigenen Gerät und das Leihgerät zurück gibt?

 

Ich hoffe das Ubiquiti hier in Deutschland auch das neue Kabelmodem herausbringt und es mit VF geht.