Business 1000 Cable: Upload extrem eingebrochen
Mawangdui
Smart-Analyzer
Smart-Analyzer

Der Upload meiner 1000er Cable Business Leitung ist seit geraumer Zeit stark eingebrochen. Seit etwa drei Monaten werden die ehemals 50 Mbits nichts mehr erreicht. Der Upload schwankt stark und übertrifft nur mit viel Glück noch um die 20 Mbits. Ich befinde mich die meiste Zeit über beruflich im Ausland und bin daher auf den Upload zum Server daheim mehr angewiesen als auf das Gibabit im Download. Teilweise ist der Upload allerdings dermaßen gering, dass ich per VPN nicht mehr auf die Konsolen meiner Ubiquiti Geräte komme, ohne Timeouts auszulösen.

 

Es liegt sicherlich nicht an der Verbindung nach Deutschland rüber. Die Speedtests wurden alle an 10gbit LAN Geräten aus dem Netzwerk daheim gemessen.Bildschirmfoto 2022-08-07 um 16.11.08.jpg

 

Bildschirmfoto 2022-08-07 um 16.04.09.jpg

 

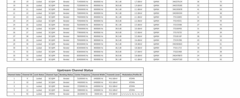
Als Modem hängt derzeit ein TC4400 dran. Ein Wechsel auf die VodafoneStation brachte bisher keine Besserung. Die Docsis-Verbindungsdaten vom TC4400 lesen sich derzeit wie folgt:Bildschirmfoto 2022-08-07 um 15.07.09.jpg

Bildschirmfoto 2022-08-07 um 15.07.26.jpeg

 

Wäre super, wenn evtl. von Vodafone jemand mal auf die Leitung schauen könnte.

Vielen Dank!

7 Antworten 7
pRo-Marco
Moderator:in
Moderator:in

Hi Mawangdui,

 

tut mir leid, dass der Upload solche Probleme macht Smiley (traurig) bei uns kann es einige Zeit dauern, bis wir uns wieder melden können. Über die Hotline oder den Netzassistenten geht es vermutlich schneller. Solltest Du dort nicht weiterkommen, kannst Du hier gern nochmal schreiben.

 

Beachte bitte noch diesen Beitrag:
https://forum.vodafone.de/t5/Willkommen-in-der-Community/%C3%84nderungen-in-der-Vodafone-Community/t...

 

Viele Grüße

Marco

Bewertet hilfreiche Beiträge mit Likes und Sternen!

Hallo Marco,

 

vielen Dank für die Rückmeldung! Den Netzassistenten habe ich bereits bemüht. Der findet keine Störung und bietet mir als Lösungsmöglichkeiten nur die üblichen "Have you turned it on and off again" Optionen an. 

Telefon ist für mich momentan nur schwer umzusetzen, da ich mich im Ausland befinde und keinen physischen Zugang zu den Geräten habe. Von daher die Bitte, sich die Leitung mal kurz anzuschauen.

 

Viele Grüße nach Deutschland!

 

Thomas

pRo-Marco
Moderator:in
Moderator:in

Hi Thomas,

 

dann schauen wir, dass wir das noch vor der Abschaltung der PN-Funktion durch kriegen Smiley (zwinkernd) Ansonsnten ist der Support auf Facebook oder Twitter auch für Dich da!

 

Bitte sende mir Deinen Namen, die Anschrift, Dein Geburtsdatum und Deine Kundennummer per PN und sag mir kurz hier Bescheid, wenn Du die Nachricht versendet hast.

 

Viele Grüße

Marco

Bewertet hilfreiche Beiträge mit Likes und Sternen!

Hallo Marco,

 

PM ging gerade an Dich raus. Vielen Dank, dass Ihr nochmal kurz draufschaut! Ich bin zur Zeit in Indien unterwegs und versuche abends meine Beiträge auf den heimischen Server zu schieben - was Dank des schlechten Ups leider unmöglich ist. 

Nochmals tausend Dank!

 

Thomas

pRo-Marco
Moderator:in
Moderator:in

Hi Mawangdui,

 

auf dem Rückweg gibt es teils hohe Fehlerraten. Wenn Du wieder zurück bist, dann sollte sich das ein Techniker vor Ort anschauen. Die Vermutung ist, dass der Anschluss einen Rückwegstörer verursacht.

 

Viele Grüße

Marco

Bewertet hilfreiche Beiträge mit Likes und Sternen!

Hallo Marco,

 

vielen Dank, dass ihr kurz auf die Leitung geschaut habt. Ich werde versuchen, den Technikern vor Ort Zugang zu gewähren. Ich bin noch auf längere Zeit im Ausland  und bin daher beruflich drigend auf eine funktionierende Leitung angewiesen. 

 

Viele Grüße

Thomas

Claudia
Moderator:in
Moderator:in

Hallo Thomas,

 

dann melde Dich bitte nochmal, wenn du wieder da bist :).


Viele Grüße,
Claudia

Bewertet hilfreiche Beiträge mit Likes!