Packet Loss und stark schwankender Ping
dg1qkt
Netzwerkforscher
Netzwerkforscher
  • Welchen Vertrag hast Du? Internet + Telefon 1000)
  • Welches Modem/ Router nutzt Du?  Technicolor 4400-EU
  • Nutzt Du ein Leih-Gerät von uns oder hast Du ein eigenes Gerät? Eigenes Gerät
  • Welcher Fehler tritt auf? Packetloss
  • Wie ist Dein Endgerät mit dem Modem verbunden? LAN
  • Welchen Browser verwendest Du normalerweise? Chrome
  • Welches Betriebssystem hast Du auf Deinem Rechner? Windows
  • Beginn und Zeitraum der Störung ca 1 Woche

pingping

  •  
  • traceroutetraceroute

ping4.jpg

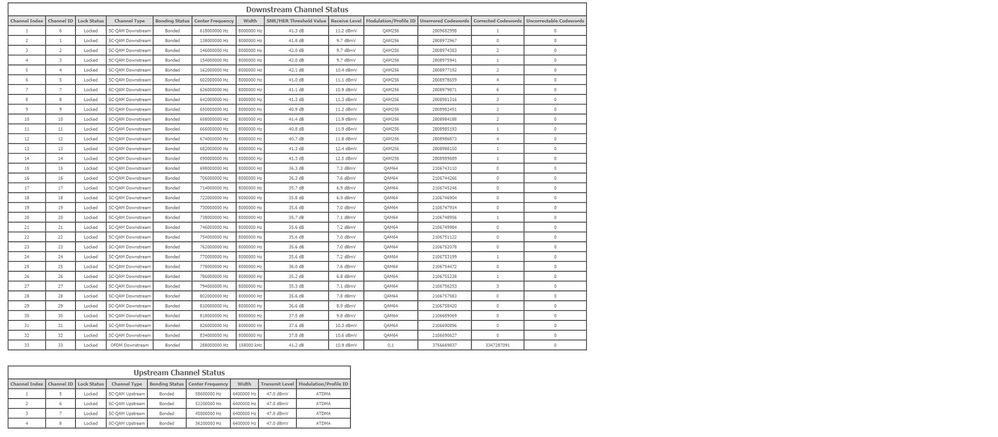
ModemwerteModemwerte

13 Antworten 13
Manu
Moderator:in
Moderator:in

Hallo dg1qkt,

 

ich schau mir Deinen Anschluss gern mal an. Schickst Du mir dazu bitte Deinen Namen, Adresse, Geburtsdatum und Kundennummer in einer Privatnachricht ?

 

Mach bitte auch mal einen Pingplotter, da ist das Ganze etwas übersichtlicher.

 

Viele Grüße, Manu

Bewertet hilfreiche Beiträge mit Likes und Sternen!
dg1qkt
Netzwerkforscher
Netzwerkforscher

Vielen Dank für die schnelle Anwort. 
Du hast eine PM.  

pingplotter reiche ich heute Abend nach. 

Manu
Moderator:in
Moderator:in

Hallo dg1qkt,

 

danke für die schnelle Antwort.

Da Du Dein eigenes Gerät angeschlossen hast, kann ich nicht allzu viel nachvollziehen. Hast Du eigentlich mal mit unserem Router getestet, ob es da auch zu Problemen kommt?

 

Vielleicht kannst Du das auch heute abend mal anschließen und ne Weile dran lassen, dann kann ich mir die Leitung genauer anschauen.

 

Viele Grüße, Manu

Bewertet hilfreiche Beiträge mit Likes und Sternen!
dg1qkt
Netzwerkforscher
Netzwerkforscher

Kann  Ich heute Abend machen.  Konntest du aktuell gar nichts feststellen? Kannst du dann bitte für mein Leihgerät schonmal echtes Dual Stack hinterlegen?  Mit DS-Light lässt mich das VPN der Firma nicht rein. 

dg1qkt
Netzwerkforscher
Netzwerkforscher

Hallo hier erstmal der versprochene Pingplotter:pingplotter.jpg

 

Hier das ganze nochmal über ipv4 mit einem extrem interessanten Ergebnis  (ebenfalls heise.de):

pingplotteripv4.jpg

 

Ich schließe heute Nacht das Leihgerät an. Hast du schon irgendwelche Ideen zu den Ergebnissen die ich hier bekommen habe?

Speedtest war übrigens völlig ok, vermutlich ipv4.

 

 

Claudia
Moderator:in
Moderator:in

Hallo dg1qkt,

 

aktuell sind können bei Deinem Modem noch keine Netzdaten angezeigt werden, lass es daher bitte weiterhin angeschlossen. Sieht der Pingplotter zu den beiden Adressen mit unserem Endgerät auch so aus? Verwendest Du noch eine zusätzliche Firewall? Der erste Hop deutet darauf hin.

 

Viele Grüße,

Claudia

Bewertet hilfreiche Beiträge mit Likes!
dg1qkt
Netzwerkforscher
Netzwerkforscher

Da ich ein reines Modem im Einsatz hatte habe ich natürlich auch einen Firewall Router im Betrieb gehabt. Sind jetzt allerdings beide abgeschaltet und euer Gerät hänght direkt drann.

dg1qkt
Netzwerkforscher
Netzwerkforscher

Hier sind die beiden Plots nochmal mit eurem Gerät, sieht besser aus, aber der IPv6 Plot schaut immer noch nicht wirklich gesund aus.

Mag ja sein das ich altmodisch bin, aber ich würde auf einer route zu heise.de weder auf ipv6 noch auf ipv4 packet loss erwarten.

arris6.jpgarrisplotter4.jpg

Claudia
Moderator:in
Moderator:in

Hallo dg1qkt,

 

nee, Du hast schon Recht, normal ist das nicht. Da die IPv6-Route auch mit unserem Endgerät nicht wirklich gut aussieht, habe ich eine Meldung zur Prüfung durch den Folgebereich aufgenommen. Die Auftragsnummer kommt gleich per Mail.

 

Viele Grüße,

Claudia

Bewertet hilfreiche Beiträge mit Likes!