1

Frage

2

Antwort

3

Lösung

TC4400 Synchronisierungs-Fehler
Brynjolm
Netzwerkforscher
Netzwerkforscher

Hallo! Wollte mal fragen ob ich noch andere Lösung finden. Ich habe paar Beiträge gelesen, und scheint es dass der Modem zum Update geschickt werden muss. Aktuell bin ich auf .44 FW version. Habe trotzdem Synchronisierung Fehler im Kabel internet und bekomme keine ipv6 präfix delegiert. Habe schon beim Hotline angerufen und von Vodafone Seite habe ich schon bestätigt bekommen, eine DS anschluss zu haben. Allerdings ist die Configuration File  nicht in der format, z.b cust_own_12000_12000_ds_sip_wifi-on.bin, sondern einfach z.b 9sd8dutjsnd_9d8sjdn.cm

Ist das erst mal normal? Von der Hotline hatte es mir schon eine Techicker termin vereinbart. Aber soweit ich verstehen konnte, misst er nur die pegel und geschwindigkeit, mehr nicht.

Ich kennt die Pegel nicht ganz gut, aber soweit ich verstanden habe, ist sowiet unaufällig. Konnt mir jemand schildern ob es was anderes für Probleme gibt? Liegt es auch vllt bei der Configuration File?

Ich habe eine Leihgerät zuschicken lassen. Da kommt es wahrscheinlich erst ende nächste woche. Ich komme aus BaWü.

 

Danke und schönen Tag  noch.

13 Antworten 13
RobertP
Giga-Genie
Giga-Genie

das TC4400 ist vermutlich falsch provisioniert

 

Nachtrag: funktioniert denn nur IPv6 nicht ?

Hi! Danke fuer den Antwort. Ich habe auch vermutet, dass es irgendwie falsch provisioniert. Aber ich wurde schon mehrmals abgelehnt erneut zu provisionieren. 
Ja, es fällt eigentlich nur ipv6. Aber muss ich halt 2x am Tag neu starten seit letzte woche, da kommt es zum verbindungsabrüche oft schon.


@Brynjolm  schrieb:

Aber muss ich halt 2x am Tag neu starten seit letzte woche, da kommt es zum verbindungsabrüche oft schon.


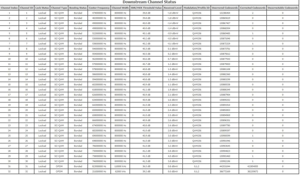
dann poste mal Screenshots der Pegel

Screenshot 2022-07-21 142939.jpgScreenshot 2022-07-21 143020.jpg

die Pegel sehen für mich aktuell eigentlich gut aus

schau dir mal die Pegel an und mach Screenshots wenn es gerade mal nicht gut läuft

evtl. ist bei dir ja ein Rückkanalstörer in der Umgebung der nicht permanent aktiv ist

Danke! Ich habe auch so bei der Pegel angedacht. Ich Schau ob ich halt die Störung erwischt. beim ipv6 bekomme ich halt von vodafone eine DHCP addressee an router aber keine öffentliche ipv6 präfix. meine v6 endet so z.b. 2a02:8901:33a0::38ab, daher kann ich keine präfix an andere geräte delegieren.

was für einen Router hast du und was hast du da eingestellt?

was für eine Präfixlänge forderst du über die Routereinstellungen an?

in Bawü muss ein 56er Präfix angefordert 

 werden 

 

Hab´ einen OPNsense dran mit eine /56 präfix schon. Die kiste ist schon 2 Jahre im Betrieb. Ganz normal einstellungen, v6 aktiviert und haken beim send ipv6 prefix hint.


@RobertP  schrieb:

schau dir mal die Pegel an und mach Screenshots wenn es gerade mal nicht gut läuft

evtl. ist bei dir ja ein Rückkanalstörer in der Umgebung der nicht permanent aktiv ist



Hallo! Melde ich halt eine kleine Update. Habe gerade des problem erwischt. Also normales web browsing läuft ohne problem. Sobald ich aber beim Online Dienst Netfilx u.a. oder beim Online Spiel wurde die Verbindung einfach getrennt. Muss ich nochmal neustarten dann ging es wieder. Screenshot 2022-07-22 031207.jpgScreenshot 2022-07-22 031222.jpgScreenShot.jpgsnmp log.jpg