1

Frage

2

Antwort

3

Lösung

Werder (Havel) Started Unicast Maintenance Ranging - No Response received - T3 time-out;
kliwi
Netzwerkforscher
Netzwerkforscher

Hallo,

seit über einer Woche (seit 12.12 ca.3Uhr) haben wir hier in der Region Werder (Havel) 14542 ständige Internetabbrüche. Nachdem das Netz jetzt ca. 2Jahre ohne Probleme seinen Dienst getan hat geht es jetzt wieder los mit den ständigen Verbindungsabbrüchen. Die Hotline ist leider überhaupt kein Helfer bei diesem Problem, ganz im Gegenteil, man wollte mir schon neue Verträge aufschwatzen. Was ich sehr unangebracht finde.

 

Vielleicht kann ja mal ein Moderator über meine Tickets schauen und mir eine schlüssige Erklärung geben.

 

Als Modem benutze ich ein TC4400

Meine Technik kann ich ausschließen da Nachbarn die gleichen Probleme haben.

Vor ca. 2 Jahren gab es das gleiche Problem auch schon und es wurde recht schnell behoben. Es kam damals aus einer anderen Netzebene. Die Hotline sagt nur immer es sei ein Störer, was es vor 2 Jahren aber definitiv nicht war.

 

Mit freundlichen Gruß

 

Guido

3 Antworten 3
Menne99
Giga-Genie
Giga-Genie

Docsis Status posten

 

Der glubb is a Depp
kliwi
Netzwerkforscher
Netzwerkforscher

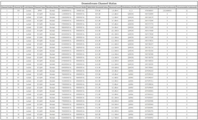
Anbei ein paar Screenshots vom Kabelmodem.

Down Channel.jpg

Up Channel.jpg

Event Log.jpg

Kurtler
SuperUser
SuperUser

Die Signalpegel sind so weit in Ordnung.

Da es hier im Forum keinen Support mehr gibt, kannst du es nur über die folgenden Kontaktwege probieren, dass sich jemand von VF deine Leitung näher anschaut.

Kontakt zu Vodafone

Gruß Kurt

Bitte keine Anfragen über PN stellen!