Upload-Störung ohne Reaktion auf Störungsticket
SteKu
Smart-Analyzer
Smart-Analyzer

Hallo,

ich habe seit mehreren Tagen regelmäßige Störungen, insbesondere in den Upload-Raten. Arbeiten im Homeoffice ist seit dem nicht mehr möglich (Abbrüche). Ein am 11.01. eröffnetes Störungsticket ist seit dem  ohne erkennbare Tätigkeit offen.

- Bundesland Hessen, Postleitzahl 61381

- Unitymedia-Vertrag (TV + Internet + Telefon mit 200 Download, 10 Upload)

- Connect Box

- Leih-Gerät von Unitymedia

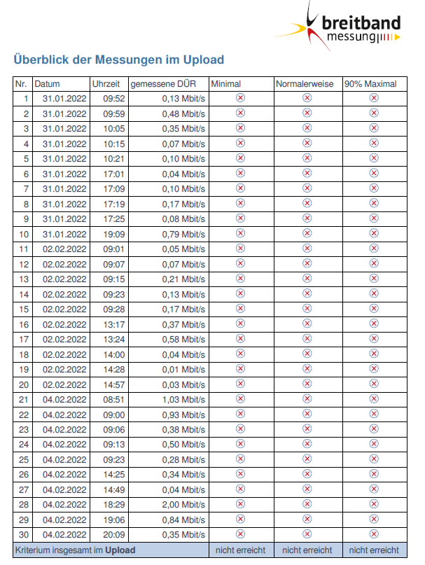
- Welcher Fehler tritt auf? -> Weder die Download-Geschwindigkeit, noch die Upload-Geschwindigkeit ist stabil (nur ausnahmsweise erreichen die Geschwindigkeiten die im Vertrag gezahlten Raten). Insbesondere die Upload-Geschwindigkeit geht teilweise gegen 0, so dass es zu Abbrüchen in der Verbindung kommt. Siehe auch beigefügte Screenshots diverser Messungen an der Connect Box über die App der Bundesnetzagentur.

  • Wie ist Dein Endgerät mit dem Modem verbunden? -> Versuche sowohl über WLAN, als auch LAN.
  • Welchen Browser verwendest Du normalerweise? Firefox bzw. über Smartphone
  • Welches Betriebssystem hast Du auf Deinem Rechner? Windows bzw. über Smartphone
  • Beginn und Zeitraum der Störung (seit 10.01., oft scheint es Probleme ab 14:00 Uhr zu geben, teilweise auch schon früher)
  • Lade dazu noch einen Screenshot von den Signalwerten hoch. Diese findest Du in der Benutzeroberfläche Deines Kabelrouters über 192.168.0.1 bzw. über 192.168.178.1 bei der Fritzbox. -> über die Benutzeroberfläche der Connect Box finde ich keine Signalwerte
  • Welche Maßnahmen wurden durch die Störungshotline (erreichbar unter 0800-5266625 für Vodafone Kabel Deutschland bzw. 0221/46619100 für Vodafone West) durchgeführt? -> es wurde am 11.01. ein Störungsticket eröffnet ohne weitere sichtbare Aktivität

 

Screenshot 1 Messung über App Bundesnetzagentur.pngScreenshot 2 Messung über App Bundesnetzagentur.pngScreenshot 3 Messung über App Bundesnetzagentur.png

6 Antworten 6
Ida
Moderator:in
Moderator:in

Hi SteKu

Hast Du inzwischen eine Rückmeldung zum Störungsticket erhalten?

Wenn nicht, schick mir eine PN:

Name/Vorname

Geburtsdatum

vollständige Adresse

Kundennummer

aktuelle Handynummer

 

Bitte schreibe hier erneut sobald die PN raus ist.

 

Beste Grüße

Ida

 

Bewertet hilfreiche Beiträge mit Likes!
SteKu
Smart-Analyzer
Smart-Analyzer

Leider hat sich bisher keiner gemeldet auf mein Störungsticket. Seit 26.01. brechen die Uploadraten nun bereits ab ca. 10:00 Uhr ein. Ein Homeoffice-Arbeiten ist somit überhaupt nicht mehr möglich.

 

Ich bitte um dringende Hilfe.

 

PN habe ich eben verschickt.

R4mona
Moderator:in
Moderator:in

Guten Morgen SteKu,

vielen Dank für Deine Daten.

Soeben habe ich in mein System geschaut. Laut dem Tickt vom 11.01.2022 bist Du von einer Auslastung betroffen. Um diese nachhaltig zu beheben, führen wir einen Node Split durch. Dabei handelt es sich um einen komplizierten Eingriff, wo durchaus auch der Tiefbau erforderlich wird. Dafür benötigen wir eine gute Planung und viele Genehmigungen.

In Deiner Region sollen diese Arbeiten am 04.08.2022 stattfinden. Weitere Informationen sind mir nicht ersichtlich. Es tut mir sehr leid, dass ich keine besseren Informationen für Dich habe. Smiley (traurig)

Viele Grüße
R4mona

Bewertet hilfreiche Beiträge mit Likes!
SteKu
Smart-Analyzer
Smart-Analyzer

Hallo,

wollen Sie mir damit sagen, dass mein Internet bis August nicht mehr funktionieren wird? Das muss doch irgendwie schneller gehen.

Und soll ich jetzt monatelang einen Anschluss bezahlen, der nicht funktioniert? Und wie erwähnt ist es unmöglich so im Homeoffice zu arbeiten. Ich muss wegen Vodafone jeden Tag ins Büro fahren.

 

Wie gedenkt Vodafone damit umzugehen?

 

Freundliche Grüße

Stefan Kuhrig

R4mona
Moderator:in
Moderator:in

Guten Morgen SteKu,

entschuldige bitte die Wartezeit.

Im Fall der Auslastung können wir leider keine kurzfristige bzw. sofortige Abhilfe schaffen. Das liegt am hohen Planungsaufwand und an den vielen Genehmigungen, die wir für den Ausbau benötigen. Ohne diese können wir die entsprechenden Arbeiten leider durchführen.

Natürlich schauen wir gern gemeinsam, wie wir Dir für diese Zeit entgegekommen können. Meld Dich dazu bitte per PN bei uns.

Viele Grüße
R4mona
 

Bewertet hilfreiche Beiträge mit Likes!
SteKu
Smart-Analyzer
Smart-Analyzer

Hallo,

die persönliche Nachricht ist raus.

Ich erwarte eine Entschädigung für die desaströse Leistung und eine Reaktion auf meine Online-Kündigung vom 16.02., zu der ich bisher keine Rückmeldung erhalten habe.

Angehängt noch mal ein Screenshot der Ergebnisse der Bundesnetzagentur zur Upload-Rate. So kann man nicht im Homeoffice arbeiten.

Screenshot Uploadmessungsergebnis.png