TM3402B Bayern verliert ständig Sync
9Lukas5
Smart-Analyzer
Smart-Analyzer

Hey, ich habe seit September ein Arris TM3402B als Modem am Kabelanschluss in Bayern. Das hat zum Vertragsbeginn alles einwandfrei geklappt: Angesteckt, registriert, neugetartet volle Bandbreite, läuft.

 

Seit wohl mindestens letzter Woche (Berichte der WG-Mitbewohner, ich war nicht da), ist der Download unheimlich schlecht (2-5Mbit statt 50Mbit) bzw. es bricht ganz zusammen.

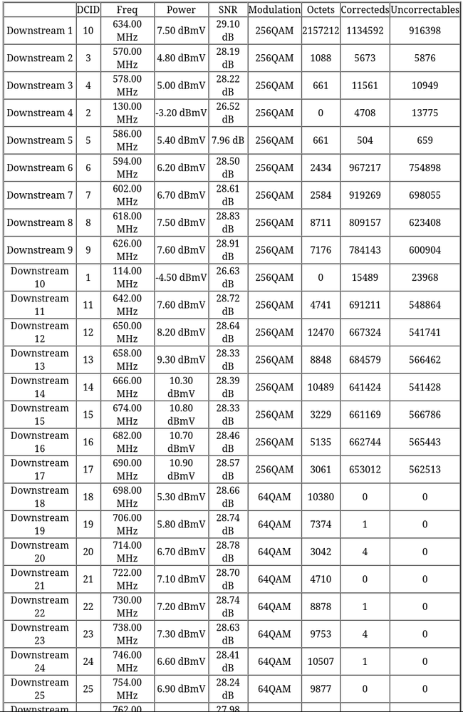
Im Modem sehe ich ständig "Loss of Sync" Events und einen Reset (so alle 2-10min).

Wenn gerade mal eine Verbindung steht, dann sehe ich auf den Downstream 1-17 massive Uncorrectables.

 

Techniker beauftragen? Oder hat VF jetzt kurz nach meinem Anschluss was gemacht, dass die TM3402B wieder nicht ins Netz lässt?

 

Bildschirmfoto vom 2023-10-29 16-22-26.pngBildschirmfoto vom 2023-10-29 16-51-23.pngBildschirmfoto vom 2023-10-30 08-50-15.png

3 Antworten 3
9Lukas5
Smart-Analyzer
Smart-Analyzer

Kleines Update: Hab jetzt mal beim VF Support angefragt.

Im Keller neben dem Hausverteiler hängt auch eine VF-Station von den Nachbarn, die blinkt auch regelmäßig und hat wohl vor paar Tagen schon jemand anderes an derselben Adresse ein Ticket auf gmemacht^^

deine Signalpegel sind komplett aus der Toleranz

Leihgerät wieder anschließen und Störung melden

oder hoffen dass der bestellte Techniker den gesamten Anschluss in Ordnung bringt 

Naja, Leihgerät anschließen ist einfacher gesagt als getan: Neu abgeschlossener Vertrag ohne ein Leihgerät (weil kostet monatlich zusätzlich) und von Beginn an mit dem eigenen betrieben 💁🏼

 

Aber da ja auch die Nachbar-VF-Station immer wieder blinkert hoff ich jetzt erstmal auf ne globale Reparatur im Haus 😶🌫