1

Frage

2

Antwort

3

Lösung

Modem verliert neuerdings immer wieder mal die Internetverbindung
Stef_71
Netzwerkforscher
Netzwerkforscher

Hallo,

habe seit ca. 1,5 Wochen das Problem das immer wieder die Verbindung gekappt wird. Es passiert überwiegend wie ich beobachtet habe spät Nachmittags so ab 17:30 Uhr und nachts. Ansonsten hatte ich kaum Probleme bis jetzt. Wenn Nachts die Verbindung ausfällt, das sehe ich dann morgens an meiner Homematic CCU3 in dem sie blinkt. Es geht dann nur wieder, in dem ich das Modem kurz stromlos mache und dann funktioniert es wieder einige Zeit. Das Modem zeigt auch nichts an, das z.B. eine LED nicht leuchtet.

 

Weitere Infos:

Vertrag: Internet und Phone 1000 Mbit/s

Modem: eigenes Technicolor TC4400 (Software: 70.12.40-180627)

Netzwerk: Ubiquiti Unifi Produkte (alle die aktuelle Firmware)

Modem -> UDM Pro -> Switches -> WLAN AP AC Pro

 

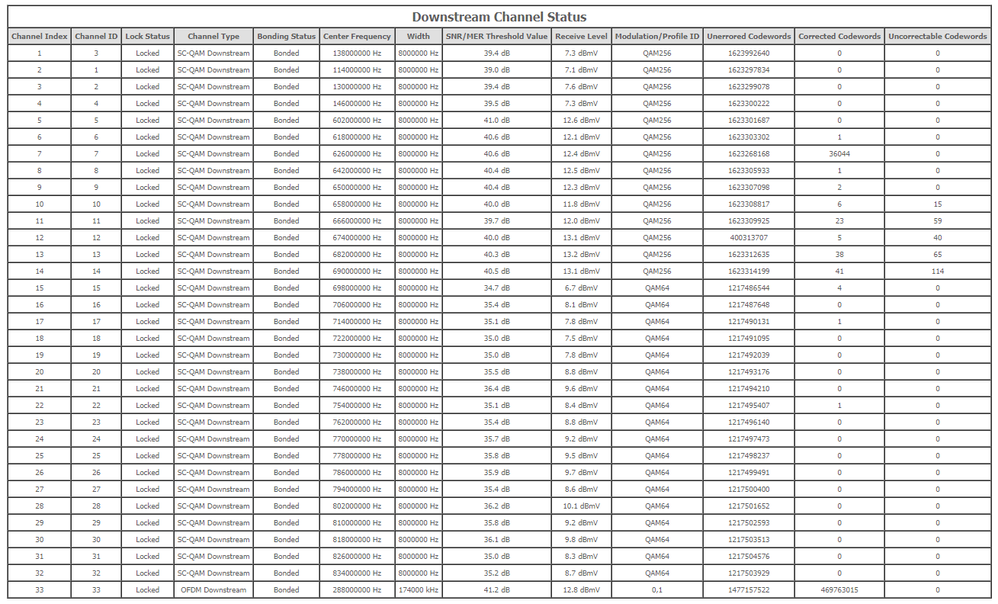
Hier mal noch die Werte aus dem Modem:

Modem 01.PNGModem 02.PNGModem 03.PNG

 

LG

Stefan

 

Edit: @Stef_71 Beitrag nach Störungsmeldungen Kabel verschoben. Gruss Methusalem1

1 Akzeptierte Lösung

Akzeptierte Lösungen
Jana478
Administrator:in
Administrator:in

Hallo Stef_71,

 

wir prüfen ja bis zum Modem, alles was dahinter ist, darauf haben wir keinen Zugriff.

 

Der Fehler kann schon vom Verteiler ausgehen, auch die Verkabelung bis zur Dose  und zum Modem und natürlich das Gerät selbst kann defekt sein.

 

Wenn der Fehler erst nach dem Modem auftreten würde, dann wären unsere Messwerte in Ordnung.

 

Kann ich den Techniker beauftragen?

 

Du hast recht, das mit dem Bridgemodus ist umständlich, aber leider nicht zu umgehen. Frustrierte Smiley

 

Viele Grüße

Jana

Bewertet hilfreiche Beiträge mit Likes!

Lösung in ursprünglichem Beitrag anzeigen

31 Antworten 31
Martin59
Moderator:in
Moderator:in

Hallo Stef_71,

 

in welchem Bundesland wohnst Du?

 

Viele Grüße, Martin

Bewertet hilfreiche Beiträge mit Likes!

Hallo,

im Saarland 66780

Wallace
Moderator:in
Moderator:in

Hey,

 

die Pegel sehen soweit gut aus. Wie schaut´s aus, wenn Du unseren Router anschließt?

 

VG Wallace

Bewertet hilfreiche Beiträge mit Likes und Sternen!
Stef_71
Netzwerkforscher
Netzwerkforscher

Hallo Wallace,

habe das noch nicht probiert. Ich weiß auch jetzt gar nicht ob ich damals nach wechsel der Homebox ein normales Modem bekomme hatte, muss ich schauen. Nach dem Wechsel habe ich das Technicolor angeschlossen. Wäre dann ein Versuch wert. Wobei ich jetzt nicht weiß, wenn ich das normale Modem anschließe kann ich dann einfach das Technicolor danach wieder anschließen und die Daten sind wieder vorhanden bzw. die Verbindung oder muss ich wie bei der Erstinbetriebnhame die Daten wieder eingeben wie damals?

 

LG

Stefan

Martin59
Moderator:in
Moderator:in

Hallo Stef_71,

 

wenn Du unseren Kabelrouter anschließt und danach wieder das TC, müssen die Daten erneut eingegeben werden.

 

Viele Grüße, Martin

Bewertet hilfreiche Beiträge mit Likes!

Hi,

ich werde mal die Tage das VD Modem anschliessen und berichten.

Martin59
Moderator:in
Moderator:in

Hallo Stef_71,

 

melde Dich gerne, wenn Du unseren Kabelrouter angeschlossen hast. Dann können wir auch einen direkten Blick auf Deinen Anschluss werfen.

 

Viele Grüße, Martin

Bewertet hilfreiche Beiträge mit Likes!

Hallo,

heute Nachmittag habe ich mich endlich entschlossen das Vodafone. Kabelrouter anzuschließen und es ist das passiert was ich vermutet habe und ich es so lange raus gezögert habe. Nichts geht mehr. Mit eurem Router kommt nach PC Neustart eine kurze Verbindung und Internet zustande und dann ist Feierabend.. Dann habe ich wieder mein Modem angeschlossen und den PC direkt daran verbunden per LAN und da geht auch nichts mehr. Es kommt kein Aktivierungsportal in dem ich die SIP Daten eingeben kann.

 

Ich habe bei beiden Geräte immer nur den PC angeschlossen ohne die restliche Hardware, vorbeugend das ich mir nicht das ganze Netzwerk verbiegen.

 

Was kann ich jetzt tun?

 

Viele Grüße

Stefan

 

Stef_71
Netzwerkforscher
Netzwerkforscher

...nochmal ich....

Gibt es noch eine Alternative zu dem Modem TC4400? Ich habe gelesen das man mittlerweile auch die Leihgeräte in den Bridge Modus versetzen kann ist das so richtig?

Wäre halt für mich wichtig weil ich Ubiquiti Unifi Hardware nutze. (u.a. die UDM Pro als Router). Ich habe wegen meiner Hausautomation eine reine Ipv4 Adresse.