1

Frage

2

Antwort

3

Lösung

Cisco EPC3212 und 250Mbit Tarif
KaCr
Netzwerkforscher
Netzwerkforscher

Hallo Kabel Gurus,

 

ich habe jetzt schon seit mehreren Jahren das Cisco EPC3212 als Fremdmodem an unserem Vodafone Kabel Anschluß in Betreib.

 

Wir hatten die ganze Zeit den 100Mbit down mit 6Mbit up Tarif. Den haben wir jetzt aufgestockt auf 250Mbit down und 50Mbit up. Leider erreicht das Modem die Geschwindigkeit nicht (natürlich über LAN gemessen).

 

14500355476

Obwohl auf eurer Seite steht:

Geräteanforderungen für Tarife mit bis zu 500 Mbit/s im Download:

  • DOCSIS 3.0 Kompatibel
  • 24 Download- und 8 Upload-Kanäle
  • IPv4 und IPv6 sowie Dual Stack Lite
  • SIP-Standard für Telefonie

Das EPC3212 bietet DOCSIS 3.0, aber leider nur 8 Down- und 4 Upstreams.

Was mir merkwürdig erscheint ist, dass nur 7 von 8 streams im Download und nur 1 von 4 im Upload benutzt werden.

channels.PNG

Könnt ihr noch das Modem bei euch Einbinden und ein FW Update fahren?

 

Wie ich jetzt durch weiteres Suchen herausgefunden habe, sollte das Modem zumindest 200/12 bekommen.

 

Ich bekomme ja leider nur 100/12.

 

Ich bräche aber auf jeden Fall noch Dualstack - also IPv4 und IPv6.

Was man im obigen Beitrag ließt, wäre das nach einem Neu-Provionieren ein Problem?

Auch das meist Empfohlene TC4400 wäre ein Problem?

 

In wie weit ist das noch 2023 ein Problem (der Beitrag ist ja von 2018)?

 

Viele Grüße

13 Antworten 13
KaCr
Netzwerkforscher
Netzwerkforscher

Hier mal noch Infos:

curl -X POST https://api.speedtest.vodafone.anw.net/v0/init/ -H "x-apikey:eiquo8HuP0aeDoinono2nao4keip1the"
{
    "data": {
        "speedtest": {
            "id": "pgr9txfhbt9p",
            "startTime": "2023-03-19 20:33:30",
            "servers": {
                "downloadServers": {
                    "dualstack": [
                        "https://speedtest-51.speedtest.vodafone-ip.de/data.zero.bin.512M",
                        "https://speedtest-60.speedtest.vodafone-ip.de/data.zero.bin.512M"
                    ],
                    "ipv6": [
                        "https://speedtest-51v6.speedtest.vodafone-ip.de/data.zero.bin.512M",
                        "https://speedtest-60v6.speedtest.vodafone-ip.de/data.zero.bin.512M"
                    ]
                },
                "uploadServer": {
                    "dualstack": "https://speedtest-51.speedtest.vodafone-ip.de/empty.txt",
                    "ipv6": "https://speedtest-51v6.speedtest.vodafone-ip.de/empty.txt"
                },
                "pingServer": {
                    "dualstack": "https://speedtest-51.speedtest.vodafone-ip.de",
                    "ipv6": "https://speedtest-51v6.speedtest.vodafone-ip.de"
                },
                "wsPingServer": {
                    "dualstack": "wss://speedtest-21.vodafone.anw.net/ping/",
                    "ipv6": "wss://speedtest-21v6.vodafone.anw.net/ping/"
                }
            }
        },
        "connection": {
            "ip": "2a02:810c:c0:5500:XXXXXXXXXXX",
            "ipVersion": "v6",
            "ipCountry": "DE",
            "remotePort": 0,
            "isp": "Vodafone GmbH",
            "isCustomer": true,
            "plannedImprovement": null,
            "ispFootprint": "VF",
            "isVpnActive": false,
            "vpnDetectedBy": "customer"
        },
        "modem": {
            "vendor": null,
            "type": null,
            "name": null,
            "provisionedDownloadSpeed": 287500000,
            "provisionedUploadSpeed": 57500000,
            "bookedDownloadSpeedMax": 250000000,
            "bookedDownloadSpeedAvg": 225000000,
            "bookedDownloadSpeedMin": 150000000,
            "bookedUploadSpeedMax": 50000000,
            "bookedUploadSpeedAvg": 35000000,
            "bookedUploadSpeedMin": 15000000,
            "swapScenario": null,
            "swapLink": null
        },
        "cmts": {
            "vendor": "Casa",
            "isModemTestAvailable": true
        },
        "communication": {
            "modemSwapLink": null,
            "modemSwap": false,
            "plannedImprovement": null
        },
        "client": {
            "id": null,
            "userAgent": "curl/7.81.0",
            "browser": {
                "name": "cURL",
                "version": "7.81.0",
                "isCurrent": null
            },
            "os": {
                "name": null,
                "version": null,
                "isCurrent": null
            },
            "device": {
                "deviceType": "desktop"
            }
        },
        "location": {
            "countryCode": "DE"
        }
    },
    "status": {
        "code": 0,
        "message": "ok"
    }
}
RobertP
Giga-Genie
Giga-Genie

@KaCr  schrieb:

Das EPC3212 bietet DOCSIS 3.0, aber leider nur 8 Down- und 4 Upstreams.

Was mir merkwürdig erscheint ist, dass nur 7 von 8 streams im Download und nur 1 von 4 im Upload benutzt werden.


das liegt daran, dass der Power Level im Upstream viel zu hoch ist 

peter12_
Giga-Genie
Giga-Genie

Hi,

 

Vorweg: schwierig, das Thema 😕

 


@KaCr  schrieb:

Wir hatten die ganze Zeit den 100Mbit down mit 6Mbit up Tarif. Den haben wir jetzt aufgestockt auf 250Mbit down und 50Mbit up. Leider erreicht das Modem die Geschwindigkeit nicht (natürlich über LAN gemessen).

 

14500355476

Die LAN Verbindung zwischen Kabelmodem und Router ist nicht auf Fast Ethernet zurückgefallen, sondern läuft auf 1 GB/s?

 


@KaCr  schrieb:

Obwohl auf eurer Seite steht:

Geräteanforderungen für Tarife mit bis zu 500 Mbit/s im Download:

  • DOCSIS 3.0 Kompatibel
  • 24 Download- und 8 Upload-Kanäle
  • IPv4 und IPv6 sowie Dual Stack Lite
  • SIP-Standard für Telefonie

Das EPC3212 bietet DOCSIS 3.0, aber leider nur 8 Down- und 4 Upstreams.


Wie du bereits festgestellt hast, erfüllt das EPC3212 nicht die Schnittstellenbeschreibung. Es kann funktionieren, aber da du schon die "Grundvorraussetzungen" bezüglich der (Euro)DOCSIS Kanäle nicht erfüllst, steht du noch schlechter da, als ein Kunden mit einer einigermaßen aktuellen eigenen Fritz!Box Cable oder einem Technicolor TC4400 😕 Ohne Geräteaustausch wirst du aufgrund der wenigen EuroDOCSIS Kanäle, welches das EPC3212 bündeln kann auf absehbare Zeit Probleme bezüglich der Auslastung der EuroDOCSIS Kanäle bekommen. Vodafone wird irgendwann anfangen die EuroDOCSIS 3.0 Kanäle zu reduzieren und dafür einen zweiten OFDM Kanal aufschalten. Du teilst dir dann also noch die wenig verbliebenen EuroDOCSIS Kanäle mit den noch vorhanden EuroDOCSIS 3.0 Modems.

 


@KaCr  schrieb:

 

Was mir merkwürdig erscheint ist, dass nur 7 von 8 streams im Download und nur 1 von 4 im Upload benutzt werden.

channels.PNG


Das ein Downstreamkanal fehlt ist ein bisschen seltsam Spontan würde ich auf Tunerdefekt des Kabelmodems tippen.

 

Den Upstream kann ich mir noch erklären. Ich vermute, dass die Dämpfung der anderen Uploadkanäle zu hoch sind und das EPC3212 diese nicht mehr nutzen kann -> Leihgerät anschließen und davon bitte einmal die Pegelwerte posten.

 


@KaCr  schrieb:

Könnt ihr noch das Modem bei euch Einbinden und ein FW Update fahren?

Vodafone bindet keine Kundengeräte in ihre Providersysteme ein und führt auch keine Firmwareupdates - wovon ich aufgrund des Gerätealters auch davon ausgehe, dass es keine aktuelle Version mehr gibt - auf Kundengeräte durch.


@KaCr  schrieb:

Wie ich jetzt durch weiteres Suchen herausgefunden habe, sollte das Modem zumindest 200/12 bekommen.

Ich vermute, dass die zugewiesenen EuroDOCSIS Kanäle entsprechend ausgelastet sind, sodass du mit diesen deine gebuchte Tarifbandbreite nicht erreichen kannst -> Gerätetausch gegen eines, welches mehr Kanäle bündeln kann.

 


@KaCr  schrieb:

Ich bräche aber auf jeden Fall noch Dualstack - also IPv4 und IPv6.

Was man im obigen Beitrag ließt, wäre das nach einem Neu-Provionieren ein Problem?

Auch das meist Empfohlene TC4400 wäre ein Problem?

 


Eigene Kabelmodems/router erhalten derzeit im Vodafone Kabel Deutschland Gebiet noch vollwertiges Dual Stack. Vertraglich hast du - außer in den Business Tarifen - darauf aber keinen Anspruch. Es kann jederzeit entfallen.

 

Zum TC4400: Ich hab dieses Gerät selbst im Einsatz und kann bis jetzt nichts negatives berichten

 


@KaCr  schrieb:

In wie weit ist das noch 2023 ein Problem (der Beitrag ist ja von 2018)?


Es hat sich eher "verschärft", da Vodafone massiv den DOCIS 3.1 Rollout fokussiert und mittlerweile auch ihre Provider eigenen EuroDOCSIS 3.0 Kabelmodems/-router gegen DOCSIS 3.1 fähige Geräte austauscht.

 

Fazit: Es ist Zeit, dass EPC3212 in den wohlverdienten Ruhestand zu schicken Smiley (zwinkernd)

Btw. Der Bridge-Mode des Provider Leihgerätes kommt nicht in Frage?

 

Grüße

GigaZuhause 250 Kabel mit Technicolor TC4400-EU/Arris TM3402B
KaCr
Netzwerkforscher
Netzwerkforscher

Also ich werde morgen mal das Providergerät dran hängen und die Werte posten. Wenn die Werte mit dem Provider Gerät auch nicht stimmen, muss sicherlich ein Techniker vorbei kommen.

 

Der Bridge-Mode auf dem Providergerät ist dann in Ordnung, wenn Dual-Stack funktioniert.

 

Ohne IPv4 ist man leider was Portforwarding angeht abgehängt, da IPv6 leider immer noch nicht überall angekommen ist. Da gibt es noch zu viele alte und junge Hasen die froh sind wenn sie das umschiffen können.

 

Und solange ich z.B nicht mal an meinem Handy (per Mobiler Verbindung) eine IPv6 Adresse habe, nutzt das einfach nichts. Genau so sieht es leider auf der Arbeit aus, da gibt es auch keine IPv6.

 

Wie soll man seinen Anschluß gescheit nutzen können, wenn der keine öffentliche IPv4 für ein Portforwarding hat. Ich weiss ich könnte mir für alles ein Reverse Proxy auf einem externen Server bauen, was ich auch für einen Web-Dienst gemacht habe. Aber es ist einfach nicht das selbe!

 

Ich verstehe ja, dass nicht jeder eine IPv4 bekommen kann. Aber es jedem zu untersagen ist halt auch keine Option. Deswegen verstehe ich die ganze IPv6 Politik bei Vodafone leider nicht und es wäre definitiv ein Grund für eine Kündigung.

 

So wie ich es dann aber sehe, braucht es dann halt wirklich ein neues "eigenes" Modem. Gibt es noch empfehlungen ausser dem TC4400?

 

Gruß

 

KaCr
Netzwerkforscher
Netzwerkforscher

@peter12_  schrieb:
Die LAN Verbindung zwischen Kabelmodem und Router ist nicht auf Fast Ethernet zurückgefallen, sondern läuft auf 1 GB/s?

Das ist nebenbei auch ein heiser Tipp

 

Denn ich bekomme auf dem Router WAN Port nur 100Mbit angezeigt. Könnte aber auch am Modem bzw. warscheinlicher an der Leitung liegen (wird vom Keller ins OG und von dort ins Nachbargebäude und von der Unterverteiltung dann wieder zum Aufstellorts des Routers gepatcht), muss ich mir auch morgen mal genauer ansehen.

 

Hier hab ich nochmal ein Speedtest über Vodafone gemacht:

 

Speedtest.PNG

Wobei man da mal wieder sieht, dass das irgendwie nicht stimmen kann, wenn nur 100MBit am WAN Port ankommen.

 

Gruß

KaCr
Netzwerkforscher
Netzwerkforscher

sodele, also die 100Mbit liegen an der Leitung vom Keller ins OG, das werde ich prüfen und beheben.

 

Am EPC direkt bekomme ich bis auf den Upload (wegen dem schlechten Pegel?!) ganz ordentliche Werte.

 

14502158359

 

Wenn ich jetzt mit dem Kabel Modem von Vodafone messe, bekomme ich:

 

14502247221

 

Hier mal noch die Werte aus dem Modem:

 

Screenshot from 2023-03-20 09-52-17.png

Wie sehen die aus? Upstream erscheint mir immer noch so hoch....?

 

Gruß,

Thomas

KaCr
Netzwerkforscher
Netzwerkforscher

Bridge Mode lässt sich nebenbei an dem TG3442DE nicht aktivieren. Im Kundenmenü kommt die Meldung:

 

Mehr anzeigen
Es ist ein Fehler aufgetreten. Wir bitten um Entschuldigung.

Für Dein Modem steht noch ein automatisches Update aus. Das Update wird in der Regel innerhalb von 24 Stunden durchgeführt. Bitte schalte Dein Modem in dieser Zeit nicht aus. Versuche dann erneut diese Seite aufzurufen beziehungsweise Deinen Auftrag abzusenden.

Bitte wende Dich an unsere technische Hotline 0800 52 666 25*, falls dieser Fehler (HIH-10104) länger auftritt.

*(kostenfrei erreichbar aus dem dt. Mobilfunk- und Festnetz, täglich 24 Stunden erreichbar)

Firmware-Version ist momentan:

AR01.04.046.25_091322_7244.PC20.10.X1

 

Obwohl es nach dem anstöpfseln definitiv mehrfach von selbst neu gestartet hat, was ich auch fein abgewartet habe, da ich erwartet habe, dass ein Update kommt.

 

EDIT: jetzt gerade ist es wieder offline gegangen. Mal sehen was sich noch tut.... es steht da aber jetzt schon länger DOCSIS Offline auf der Übersichtsseite des TG3442DE...

 

Hi,

 


@KaCr  schrieb:

Am EPC direkt bekomme ich bis auf den Upload (wegen dem schlechten Pegel?!) ganz ordentliche Werte.

 

14502158359

 

Wenn ich jetzt mit dem Kabel Modem von Vodafone messe, bekomme ich:

 

14502247221


Das sieht doch schonmal grundsätzlich besser aus 🙂

 


@KaCr  schrieb:

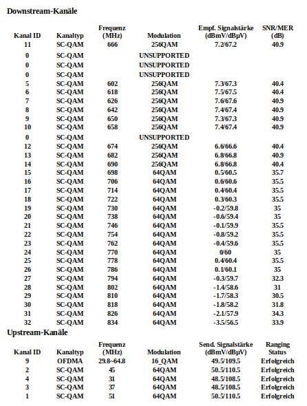
Hier mal noch die Werte aus dem Modem:

 

Screenshot from 2023-03-20 09-52-17.png

Wie sehen die aus? Upstream erscheint mir immer noch so hoch....?

 

Gruß,

Thomas


Ja, das sollte ein Techniker kommen und nachpegeln. Was mir auch noch aufgefallen ist, dass bei dir viele Kanäle fehlen. Ist bei dir evtl. noch in der Hausinstallation ein Bandsperrfilter verbaut? Dieser sollte entfernt werden, da er aufgrund vergangener Frequenzumbelegungen nun auch DOCSIS Kanäle anstatt nur TV Kanäle blockiert.

 

Zum Update des Providerkabelrouters: Dieses findest automatisch nachts innerhalb der nächsten 48 Stunden statt und kann nichts durch den Kunden selbst angestoßen werden. Einfach das Gerät in Betrieb lassen. Danach kannst du den Bridge-Mode über das Kundenportal aktivieren.

 

Grüße

GigaZuhause 250 Kabel mit Technicolor TC4400-EU/Arris TM3402B
KaCr
Netzwerkforscher
Netzwerkforscher

Momentan ist es wieder online. Ich habe deswegen auch beim Support angerufen da es nicht mehr online gegangen war.

 

Das Ticket ist immer noch offen, es wird also noch daran gearbeitet. Leider kann man über die Ticket-Status-Seite nichts reinschreiben.

 

Ich würde gerne sagen dass da jemand vorbei kommen soll das mit der Sperre und dem Pegel zu überprüfen.

 

Die Leitung vom Keller ins OG habe ich gefixt. Jetzt kommt ein Gigabit am Router an. Wenn das noch mit dem Uplink besser laufen würde, dann würde ich wahrscheinlich beim Cisco bleiben. Mal sehen wie es weiter geht....